Εκατοντάδες ενάγοντες, νοικοκυριά και επιχειρήσεις, αναμένεται να προσχωρήσουν στη συλλογική αγωγή κατά των παρόχων ενέργειας για την τερατώδη ρήτρα αναπροσαρμογής και τις αθέμιτες πρακτικές που ανεβάζουν τους λογαριασμούς στη στρατόσφαιρα.
Είκοσι πάροχοι ρεύματος, που εδώ και μήνες έχουν φέρει εκατοντάδες χιλιάδες νοικοκυριά σε απόγνωση με τις ιλιγγιώδεις χρεώσεις στους λογαριασμούς, σε λίγες εβδομάδες αναμένεται να βρεθούν μπροστά σε μια ογκώδη συλλογική αγωγή. Ογκώδη και ως προς το περιεχόμενό της, καθώς θα καταλογίζει πλήθος παραβιάσεων της ευρωπαϊκής και εθνικής νομοθεσίας για την προστασία του καταναλωτή, και ως προς τον αριθμό των εναγόντων που αναμένεται να αποτελέσει ρεκόρ για τα ελληνικά δεδομένα.
Του Γιάννη Κιμπουρόπουλου απο την efsyn.gr
Πέντε δικηγόροι –Γιώργος Καλτσάς, Αλέξης Αλεξόπουλος, Μάριος Μαρινάκος, Αντώνης Πράττας και Τάσος Σανδαλάκης– έχουν αναλάβει με εντολή του ΙΝΚΑ-Γενικής Ομοσπονδίας Καταναλωτών Ελλάδας, τη σύνταξη και κατάθεση της συλλογικής αγωγής, που θα έχει επίκεντρο τη ληστρική ρήτρα αναπροσαρμογής, αλλά θα περιλαμβάνει και άλλες αθέμιτες πρακτικές των παρόχων ενέργειας, ΔΕΗ και ιδιωτών. Και η μέχρι στιγμής ανταπόκριση, τόσο πολιτών όσο και συλλογικών ενώσεων, είναι μεγάλη. Για τη σύνταξή της έχει συγκροτηθεί ειδική γραμματεία, τηλεφωνικό κέντρο και ιστοσελίδα.
Οπως επανειλημμένα έχει γράψει η «Εφ.Συν.», φέρνοντας στη δημοσιότητα καταγγελίες καταναλωτών, η περίφημη ρήτρα αναπροσαρμογής ήταν ένα… τέρας εν υπνώσει κρυμμένο στα ψιλά γράμματα των συμβολαίων, αλλά από το περασμένο φθινόπωρο άρχισε σταδιακά να δείχνει τα δόντια της στους καταναλωτές με τριπλάσιες και τετραπλάσιες χρεώσεις, που ακολουθούσαν την αλματώδη αύξηση στη χονδρική τιμή ρεύματος όπως διαμορφωνόταν στο χρηματιστήριο ενέργειας. Η ΔΕΗ προσχώρησε στο «κλαμπ» της ρήτρας από το περασμένο καλοκαίρι αιφνιδιάζοντας εκατομμύρια καταναλωτές που μόλις τώρα, στους εκκαθαριστικούς λογαριασμούς του βαρύ χειμώνα, αντιλαμβάνονται την ασύλληπτη επιβάρυνση, από την οποία η κρατική επιδότηση καλύπτει λιγότερο από το 30% και μόνο στις χαμηλές καταναλώσεις.
Οι ιδιώτες πάροχοι από την άλλη πλευρά ανέβηκαν… πίστα στις αθέμιτες πρακτικές, μετατρέποντας μονομερώς σχετικά φτηνά και διαφημισμένα προγράμματα σταθερής τιμολόγησης σε κυμαινόμενα, δηλαδή με ρήτρα αναπροσαρμογής (βλέπε «Εφ.Συν.» 12/3/2022, «Σταθερά τιμολόγια… αστάθειας»). Οι καταγγελίες που φτάνουν στην (κατά συνθήκη αρμόδια) Ρυθμιστική Αρχή Ενέργειας είναι χιλιάδες, αλλά η ανεξάρτητη αρχή περιορίζεται στον ρόλο του διεκπεραιωτή παραπόνων περιμένοντας «ικανό πλήθος καταγγελιών» για να παρέμβει, ενώ τα σαφέστατα πορίσματα του Συνήγορου του Καταναλωτή που δικαιώνουν νοικοκυριά και επιχειρήσεις απλώς… αρχειοθετούνται. Η κυβέρνηση και το αρμόδιο υπουργείο εννοείται ότι συμπεριφέρεται σαν να συμβαίνουν όλα αυτά σε άλλη χώρα.
Προσφυγές
Αυτά τα δεδομένα καθιστούν μονόδρομο τις νομικές προσφυγές νοικοκυριών και επιχειρήσεων που είναι αδύνατο να ξεπληρώσουν τις υπέρογκες και γκρίζες χρεώσεις ρεύματος. Και η συλλογική αγωγή, την οποία καταρτίζουν οι πέντε νομικοί, είναι ένα σημαντικό πρώτο βήμα που φιλοδοξεί να κλονίσει το ενεργειακό καζίνο και τη σαθρή νομική βάση στην οποία οικοδομήθηκε. Κεντρικό της αίτημα θα είναι προφανώς η κατάργηση της ρήτρας αναπροσαρμογής από τα συμβόλαια παροχής ρεύματος.
Ο Αλέξης Αλεξόπουλος, ένας από τους πέντε δικηγόρους που έχουν αναλάβει το εγχείρημα, λέει στην «Εφ.Συν.»: «Απέναντι στην αθέμιτη και παράνομη εμπορική πρακτική της ρήτρας αναπροσαρμογής, χάρη στην οποία οι πάροχοι ενέργειας καταγράφουν αστρονομικά υπερκέρδη, η μόνη άμυνα των καταναλωτών είναι ο δικαστικός έλεγχος που ασκείται με τη συλλογική αγωγή. Το κοινωνικό αγαθό της ηλεκτρικής ενέργειας δεν μπορεί να γίνεται όχημα για την αισχροκέρδεια των παρόχων που εκμεταλλεύονται τη δεσπόζουσα θέση τους στην αγορά της ενέργειας, στην οποία λειτουργεί ένα ολιγοπώλιο με παράνομες και εναρμονισμένες τακτικές και μεθοδεύσεις. Ως εδώ! Εμείς οι καταναλωτές έχουμε τώρα τον λόγο. Είναι αυτοί δυνατοί; Εμείς είμαστε πολλοί!».
Η νομική βάση αμφισβήτησης της νομιμότητας της ρήτρας και των υπέρογκων χρεώσεων, που θα τεκμηριώσουν οι πέντε νομικοί, είναι η απρόοπτη μεταβολή συνθηκών.
Χρεώσεις
Οπως εξηγεί στην «Εφ.Συν.» ο δικηγόρος Γιώργος Καλτσάς, «οι υπέρογκες χρεώσεις μέσω μιας αδιαφανούς ρήτρας, επιβληθείσης μονομερώς από την πλευρά των προμηθευτών, έχουν διαταράξει σε τέτοιο βαθμό την ισορροπία της σύμβασης αποκλειστικά εις βάρος των καταναλωτών, ώστε η επιμονή στη διατήρησή της από την πλευρά των εταιρειών να αντιτίθεται κατά τρόπο πρόδηλο στις αρχές της καλής πίστης».
Ο πληθωρισμός και ο τιμάριθμος συνιστούν γεγονότα θεμελιωτικά της σύμβασης, τα οποία σήμερα έχουν ανατραπεί βίαια σε τέτοια έκταση που τα μέρη προφανώς δεν τα είχαν λάβει υπ’ όψιν κατά την υπογραφή, μας εξηγεί ο κ Καλτσάς. «Το χειρότερο, δε, είναι ότι το ισχυρό μέρος στη σύμβαση, που κατέχει δεσπόζουσα θέση στην αγορά, αντί να απορροφήσει τουλάχιστον ένα μέρος των αναταράξεων, μετακυλά ολοσχερώς το κόστος στον καταναλωτή εμμένοντας στη διατήρηση μιας σύμβασης απλώς και μόνο για λόγους κερδοσκοπικούς».
Τι θα απαντούσε η συλλογική αγωγή στο επιχείρημα των παρόχων ότι έχουν μεσολαβήσει απρόβλεπτα γεγονότα, όπως ο πόλεμος στην Ουκρανία, η πανδημία ή ο πληθωρισμός; «Στην πραγματικότητα η επίκλησή τους αποδυναμώνει τη θέση των εταιρειών» λέει ο κ. Καλτσάς. «Διότι ακριβώς ο νόμος απαιτεί αυτή η μεταβολή των περιστατικών να οφείλεται σε λόγους έκτακτους και απρόβλεπτους, όπως π.χ. θεομηνίες, πόλεμοι, πανδημία, σεισμοί, μεγάλη υποτίμηση του νομίσματος. Χιλιάδες νοικοκυριά δεν μπορούν να εξασφαλίσουν τα προς το ζην, ενώ εκατοντάδες επιχειρήσεις κινδυνεύουν με λουκέτο. Ως εκ τούτου η εκτεταμένη διατάραξη της αρχικής οικονομικής ισορροπίας επιβάλλει όχι απλώς τη λύση των συμβάσεων αυτών, αλλά και να αποδώσουν στους καταναλωτές οι εταιρείες όσα απέκτησαν από αιτία ουσιαστικά μη νόμιμη».
Φιλοδοξία των πέντε νομικών που συντάσσουν την αγωγή είναι να κατατεθεί μετά το Πάσχα με στόχο να εκδικαστεί λόγω του μείζονος ενδιαφέροντός της σε 3-4 μήνες, ενώ θα συνοδεύεται και με αίτηση ασφαλιστικών μέτρων για το προσωρινό πάγωμα της ρήτρας. Είναι εξαιρετικά πιθανό, καθώς αφορά σχεδόν τους πάντες, η προσφυγή να προκαλέσει και πιλοτική δίκη στον Αρειο Πάγο, όπως είχε συμβεί στο παρελθόν με το λεγόμενο χαράτσι του ΕΕΤΗΔΕ.
Η ακατανόητη ρήτρα με τους δύο συντελεστές προσαύξησης

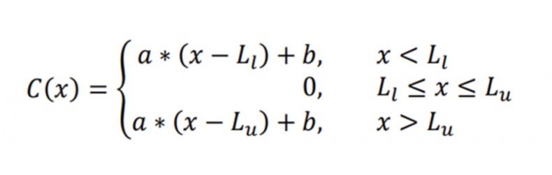
Ο Μάριος Μαρινάκος, ένας από τους πέντε νομικούς συντελεστές της αγωγής, μας εξηγεί τη νομική βάση με την οποία οι καταναλωτές δικαιούνται να αμφισβητήσουν τη μαθηματική σπαζοκεφαλιά της ακατάληπτης ρήτρας αναπροσαρμογής: «Δείτε στην εικόνα τη ρήτρα αναπροσαρμογής, όπως τη διατυπώνει η ΡΑΕ στην υπ’ αριθ. 409/2020 απόφασή της. Ο παραπάνω τύπος δημιουργεί σπουδαία προβλήματα αδιαφάνειας, όπως άλλωστε έχει επισημάνει και η ΡΑΕ.
Με τη χρησιμοποίησή της ο απρόσεκτος μεν ως προς την ενημέρωσή του, αλλά διαθέτοντας τη μέση αντίληψη κατά τον σχηματισμό της δικαιοπρακτικής του απόφασης καταναλωτής βρίσκεται ενώπιον μιας αιφνιδιαστικής ρήτρας, η οποία διαψεύδει τις δικαιολογημένες προσδοκίες που είχε όταν συνήψε τη σύμβασή του, αφού, πέραν της ασαφούς και ακατανόητης διατύπωσης, ακόμα κι αν αποκωδικοποιήσουμε την παραπάνω συνάρτηση, τότε θα διαπιστώσουμε ότι ο καταναλωτής υπόκειται, μεταξύ άλλων, και σε δύο (!) συντελεστές προσαύξησης, που καθορίζονται μονομερώς από τον προμηθευτή κατά τρόπο που καθίσταται αδύνατο να καταστεί ορισμένο, ή έστω οριστό, ακόμα και το περιεχόμενό της, πόσο μάλλον το αποτέλεσμά της από τη χρήση της».
INFO: Ειδική Γραμματεία Συλλογικής Αγωγής: Ηρώδου Αττικού 6, Χαλάνδρι Αττικής. Τηλεφωνικό κέντρο 211-0135199, Δευτέρα έως και Παρασκευή, 9 π.μ.-5 μ.μ. Ιστοσελίδα https://syllogiki-inka.gr. Ηλεκτρονική αλληλογραφία: [email protected], [email protected] και [email protected]
